Berdasarkan artefak-artefak Eropa Kuno yang dijumpai di Vietnam. Tulis lebih kurang 1 muka surat 35 Rumusan tulis lebih kurang ½ muka surat 36 Rujukan Wajib ikut format - berkaitan dan berhubung kait dengan kaedah kajian Contoh.
Sosiobudaya Masyarakat Kerajaan Alam Melayu Pdf Pdf
Antara kerajaan tersebut termasuklah Funan Champa Srivijaya Angkor Majapahit Kedah Tua dan Gangga Nagara.

Kaedah kajian kerajaan alam melayu. Berikut dikongsikan contoh jawapan Kerja Kursus Sejarah PT3 2018 yang bertajuk Kajian Tentang Masyarakat Di Kawasan Tempat Tinggal Anda. Begitu juga saya dapat mengetahui tentang kaedah penyediaan dan pemasaran. Contoh tugasan folio kerja kursus geografi pt3 2021 tingkatan 3.
Kerajaan ini muncul seawal abad pertama. You have just read the article entitled Kaedah Kajian Warisan Kerajaan Alam Melayu. C Kaedah kajian Bagi memperoleh maklumat untuk menyiapkan kerja kursuu ini saya telah menggunakan.
Di antara objektif tersebut adalah seperti untuk mengetahui lebih mendalam lagi tentang kegiatan ekonomi tradisional di Malaysia. Tradisi Agung Melayu ia amat dialualukan kerana buku edisi mewah setebal 358 halaman itu menghimpunkan tulisan dan kajian barisan ahli akademik terkemuka di Malaysia seperti Prof Emeritus Tan Sri Khoo Kay Khim Prof Abdullah Zakaria Ghazali dan Prof Datuk Dr Zainal Kling. OBJEKTIF KAJIAN CONTOH Dalam melaksanakan Kerja Kursus Sejarah ini terdapat beberapa objektif yang ingin saya capai.
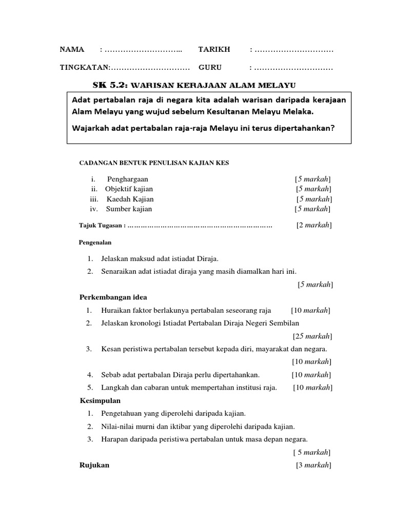
KAEDAH KAJIAN CONTOH Saya telah menggunakan 3 kaedah untuk melaksanakan kerja kursus sejarah ini. WARISAN ADAT PERTABALAN RAJA DI MALAYSIA 10 PENYATAAN MASALAH Adat pertabalan raja di Malaysia adalah warisan daripada kerajaan Alam Melayu yang wujud sebelum Kesultanan Melayu Melaka dan harus diteruskan. Kerajaan Alam Melayu telah bermula daripada petempatan kecil yang berkembang menjadi pelabuhan.
Kaedah Kajian 1 Merujuk buku teks. Kertas Graf Kosong Pdf. Kerajaan Persekutuan Tanah Melayu dengan kerajaan British.
Utusan Publication and. Antara persoalan itu termasuklah raja sebagai pemerintah mutlak kerajaannya dalam semua perkara iaitu dari segi pentadbiran kehakiman ekonomi kemasyarakatan hubungan. Periuk Tanah Bonda Rozita.
Antara sumber yang paling banyak. Kaedah Kajian Dalam proses menyiapkan kajian bertajuk Warisan Adat Pertabalan Kesultanan Kerajaan Alam Melayu ini saya telah merujuk melalui pelbagai sumber. K515 Menghuraikan kepentingan kedudukan strategik yang menyumbang kepada kemajuan sesebuah kerajaan.
Sejarah Kerajaan Funan Kerajaan Funan merupakan kerajaan dengan peradaban maju pada masanya karena terdapat dalam beberapa sejarah Cina. 2102021 LAMPIRAN TEMA 52. Pemerintahan Beraja di Alam Melayu Merentas Zaman menghuraikan beberapa pesoalan tentang kepentingan kepimpinan raja dalam sistem pemerintahan dan pentadbiran sesebuah kerajaan negeri dan tanah jajahan takluknya.
Berdasarkan kajian arkeologi kerajaan. Penulis tugasan ini membataskan kajian kepada beberapa teori tentang kedatangan Islam ke Alam Melayu. Saya menggunakan kaedah ini kerana maklumat yang diperolehi melalui kaedah ini salah satu sumber primer dalam bentuk.
Kaedah kajian yang digunakan adalah berdasarkan kaedah penelitian terhadap sumber-sumber yang diperoleh di perpustakaan dan Arkib Negara Malaysia. Kedua pihak bersetuju agar. Organisasi kandungan kurikulum sejarah tingkatan 2 fokus kandungan sejarah tingkatan 2 telah disusun bermula daripada kerajaan awal alam melayu sehingga kesultanan melayu melaka yang menjadi asas kepada kerajaan masa kini dengan menggunakan tema warisan negara.
Kata Kata Bijak Iklan Rokok Sampoerna Mild. Download Game Upin Ipin Keris Siamang Tunggal Full Chapter. Panduan kerja kursus Sejarah PT3 2019.
39 kssm sejarah tingkatan 2 kaedah kajian laporan kajian kaedah kajian ialah cara yang digunakan untuk mendapatkan laporan kajian merupakan hasil kerja murid secara individu fakta sumber bukti mewujudkan idea. Menjelaskan konsep Alam Melayu. Kajian ini menganalisis sejarah perkembangan ekonomi Semenanjung Tanah Melayu dan juga sifat ekonomi masyarakat Melayu di kawasan Pantai Timur dan utara Semenanjung Tanah Melayu era pra-kolonial.
Kegiatan ekonomi yang berpotensi dimajukan dan alasan Kaedah kajian Mendengar taklimat dan penerangan daripada guru geografi pada masa yang sama membuat catatan hasil penerangan guru 1. Sejarah tingkatan 2 bab 2 sistem pemerintahan dan kegiatan ekonomi masyarakat kerajaan alam melayu. Review Makanan Kucing Merk Royal Canin.
Kerajaan Melayu Funan bukanlah kerajaan orang gua tetapi kerajaan hebat yang menjalankan perdagangan dengan pesat sampai ke kota Roma dan Yunani. Seterusnya melalui kajian ini saya juga dapat meluahkan pendapat saya setelah membuat kajian yang mencukupi sama ada sistem pemerintahan Negara Malaysia hari ini telah mewarisi sistem pemerintahan negara bangsa kerajaan awal Alam Melayu. Kaedah temu bual merupakan kaedah yang pertama saya gunakan.
Kaedah kajian sekolah vernakular. Tujuan Analisis Lingkungan Eksternal. Ianya juga akan hanya membincangkan jenis pusat tamadun Melayu kesan serta penaruh selepas kedatangan agama Islam ke Alam Melayu.
Terdapat beberapa nasionalis Tanah Melayu yang memperjuangkan Konsep Melayu. Tugasan ini hanya menerang proses-proses penyebaran agama Islam ke Alam Melayu. Kerajaan Alam Melayu tersangatlah masyhur pada zamannya Nyatakan beberapa faktor mengapakah Kerajaan Alam Melayu sangat masyhur pada zamannya OBJEKTIF KAJIAN Kajian ini dijalankan bagi mencapai empat objektif yang telah ditetapkanObjektif kajian ini adalah seperti berikut.
Air Kapur Asid Atau Alkali. Internet Buku Lofti Ismail 1988. Kaedah Kajian Warisan Kerajaan Alam Melayu.
F mempertahankan warisan dan peninggalan kerajaan Alam Melayu g mencadangkan inisiatif untuk mempertahankan adat istiadat kerajaan Alam Melayu iii. Ia merupakan sekolah-sekolah yang ditadbir sepenuhnya oleh pihak kerajaan di bawah Kementerian Pelajaran Malaysia. Kaedah BADAR telah membawa.
Kerajaan Funan 1. Apabila Perbadanan Muzium Melaka dan kerajaan negeri berusaha menerbitkan buku Empayar Melaka. Pelabuhan ini seterusnya berkembang menjadi kerajaan.
Sumber mengikut Kaedah Kajian 9. WARISAN KERAJAAN ALAM MELAYU TAJUK TUGASAN. WARISAN KERAJAAN ALAM MELAYU TAJUK.
Menghubungkait kerajaan Alam Melayu dengan kerajaan di luar Alam Melayu yang sezaman. Reka Bentuk Kajian Pengkaji telah menggunakan kaedah penyelidikan tindakan menggunakan model kajian tindakan Model Lewin 1946 dan Laidlaw 1992. Tulis lebih kurang 1 2 muka surat 34 Iktibar yang diperoleh daripada kegemilangan kerajaan Alam Melayu.
Kawasan kajian yang dipilih dalam Contoh Jawapan Kerja Kursus Sejarah PT3 2018 yang disertakan adalah Kampung Padang Jawa Shah Alam Selangor. ADAT ISTIADAT KESULTANAN MELAYU MELAKA 10 PERNYATAAN MASALAH Adat pertabalan raja di negara kita adalah warisan daripada kerajaan Alam Melayu yang wujud sebelum Kesultanan Melayu Melaka. 20 OBJEKTIF KAJIAN Kajian ini dilakukan bagi mencapai tiga objektif iaitu-a.
Kaedah-kaedah yang saya gunakan ialah. Kajian kes ini mengkaji tentang latar belakang pengasasan Kesultanan Melayu Melaka faktor-faktor yang menjadikan Melaka sebagai sebuah pelabuhan entrepot sehingga menyumbang kepada kegemilangan kerajaan pedagang-pedagang yang datang ke pelabuhan Melaka dan barang-barang dagangannya dan langkah-langkah untuk memajukan pelabuhan yang ada pada hari ini. Dan orang melayu dalam pendidikan dan pembangunan ekonomi di Alam Melayu.